171: 旅人さん 2021/03/01(月) 11:32:19.45 ID:A7U1LvS30
183: 旅人さん 2021/03/01(月) 11:34:01.30 ID:x5Eo1Mlp0
>>171
胡麻は既に引いてるからあとは天井まで引いてフータオちゃん確保するだけなんだ
胡麻は既に引いてるからあとは天井まで引いてフータオちゃん確保するだけなんだ
186: 旅人さん 2021/03/01(月) 11:34:27.80 ID:uRRGNxuh0
>>171
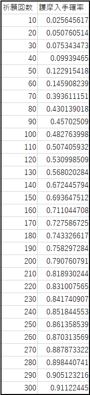
300あればええんか
300あればええんか
197: 旅人さん 2021/03/01(月) 11:35:37.05 ID:jQD9o2Qu0
>>186
シミュ回しまくった時も300あればまあほぼ揃う感じだったわ
シミュ回しまくった時も300あればまあほぼ揃う感じだったわ
220: 旅人さん 2021/03/01(月) 11:37:47.45 ID:2tutYsFNd
>>171
ROのカードでこんなグラフ見たな
ROのカードでこんなグラフ見たな
227: 旅人さん 2021/03/01(月) 11:38:34.76 ID:dQhLuYpn0
>>171
すまん、40連で護摩引いた上に
キャラガチャは70連積んであるから10連で引けるんだほんとすまん
すまん、40連で護摩引いた上に
キャラガチャは70連積んであるから10連で引けるんだほんとすまん
261: 旅人さん 2021/03/01(月) 11:42:41.36 ID:1Zx1k7OU0
>>171
300連かかったけどやっぱ相当運悪かったんだな
300連かかったけどやっぱ相当運悪かったんだな
300: 旅人さん 2021/03/01(月) 11:47:27.43 ID:VPh8HHmeM
>>261
出ただけマシと思おう
1割は300連回してなお出ないという絶望を味わってる
出ただけマシと思おう
1割は300連回してなお出ないという絶望を味わってる
286: 旅人さん 2021/03/01(月) 11:45:50.90 ID:VPh8HHmeM
>>171
武器ガチャのグラフの一番上が1.0じゃないの地味に無能
武器ガチャのグラフの一番上が1.0じゃないの地味に無能
346: 旅人さん 2021/03/01(月) 11:51:42.28 ID:A7U1LvS30
356: 旅人さん 2021/03/01(月) 11:52:47.03 ID:VPh8HHmeM
>>346
即直すとか有能やん
そしてグロさが増した
即直すとか有能やん
そしてグロさが増した
358: 旅人さん 2021/03/01(月) 11:53:13.07 ID:2tutYsFNd
>>346
どうあがいても1にはならないんやなって…
どうあがいても1にはならないんやなって…
366: 旅人さん 2021/03/01(月) 11:54:30.38 ID:X90X/6TMd
>>346
確率って怖いわ
確率って怖いわ
383: 旅人さん 2021/03/01(月) 11:56:19.57 ID:KZsQMCQo0
>>346
武器ガチャは闇😨
微課金は手を出すな🙅
武器ガチャは闇😨
微課金は手を出すな🙅
400: 旅人さん 2021/03/01(月) 11:58:05.43 ID:/2nwKmQYd
>>346
キャラの76からと武器の66からは何%で計算してる?武器は星5確率37.5%でキャラはその6/7だと思ってるけどあってるかな
キャラの76からと武器の66からは何%で計算してる?武器は星5確率37.5%でキャラはその6/7だと思ってるけどあってるかな
430: 旅人さん 2021/03/01(月) 12:00:46.53 ID:A7U1LvS30
>>400
武器37.5%、キャラ32.4%で計算してる
キャラが37.5% * (6 / 7) だと天井含めて1.6%にならない
武器37.5%、キャラ32.4%で計算してる
キャラが37.5% * (6 / 7) だと天井含めて1.6%にならない
469: 旅人さん 2021/03/01(月) 12:05:11.64 ID:/2nwKmQYd
>>430
1.5996%で四捨五入で1.600になるよ
キャラと武器の素の確率が6:7だから上がった後もその通りになると思うんだよね
1.5996%で四捨五入で1.600になるよ
キャラと武器の素の確率が6:7だから上がった後もその通りになると思うんだよね
543: 旅人さん 2021/03/01(月) 12:12:24.45 ID:A7U1LvS30
>>430
計算してみたら
32.4% ... 1.6000244 %
37.5% * (6 / 7) ... 1.5996315 % でどっちも四捨五入して1.6%だったわ
たしかに後者の方が自然やね
計算してみたら
32.4% ... 1.6000244 %
37.5% * (6 / 7) ... 1.5996315 % でどっちも四捨五入して1.6%だったわ
たしかに後者の方が自然やね
415: 旅人さん 2021/03/01(月) 11:59:18.51 ID:wmjVhGvCd
>>346
武器ガチャこっわ……
武器ガチャこっわ……
794: 旅人さん 2021/03/01(月) 12:37:07.41 ID:q/G2xtmI0
>>171
なんでこれキャラガチャ75連目から確率が爆上がりしてるの?そういう仕様なの?
なんでこれキャラガチャ75連目から確率が爆上がりしてるの?そういう仕様なの?
805: 旅人さん 2021/03/01(月) 12:38:31.58 ID:DSzhApzmM
>>794
仮天井やぞ
仮天井やぞ
822: 旅人さん 2021/03/01(月) 12:40:49.89 ID:q/G2xtmI0
>>805
仮天井は90連じゃないの?10連ずつ回した想定のグラフなら確率が上がるのは81連目からじゃない?
仮天井は90連じゃないの?10連ずつ回した想定のグラフなら確率が上がるのは81連目からじゃない?
元スレ:https://tarte.2ch.sc/test/read.cgi/gamesm/1614563471/









コメントする